Еlectronic Journal
 Вие получавате уникалната възможност да публикувате едновременно: в интернет, на CD Rom и в книжен формат.
                                                                               Eлектронно списание

 

 
 
Web Publishing by
 
Наука Инвест ЕООД - клон Бургас е фирма на Съюза на учените в България

  A Company of  Union of  Scientists in Bulgaria

 

 

Home Up Help Partners Site Map

 

Информация за списанието

Information about eJournal

Чети списанието в HTML формат

Информация за offline версията на списанието на CD Rom
Годишник на списанието /вид на книжния формат/
Read Volume

 

 

Volume 1, Issue 1

TWO DIMENSIONAL COMPUTER MODELLING OF LONG RANGE TRANSPORT OF AIR POLLUTANTS
 
Krassimir T. Georgiev
 
Central Laboratory for Parallel Processing
Bulgarian Academy of Sciences
25-A Acad. G. Bonchev str., 1113 Sofia, Bulgaria
 
 Received 10.05.2000; Cited 15.05.2000
 
 

Abstract

The task for finding reliable and robust control strategies for keeping the air pollution under certain safe levels and using these strategies in a routine way is one of the most important tasks which must be solved in the modern society. The transboundary transport of air pollutants and the chemical transformations under the transport (including here the photochemical reactions) are causing greater and grater problems. It is very important to predict episodes when the critical levels will be exceeded. This is especially true for summer ozone episodes. Large mathematical models, in which all physical and chemical processes are adequately described, in cooperation with the modern high-performance supercomputers can successfully be used to solve this task. One such a model is the Danish Eulerian Model developed in the National Environmental Research Institute in Roskilde, Denmark. This model and the new algorithms for an effective operational run of this model on vector and parallel supercomputers will be discussed in this paper. Developed codes are portable for parallel computers with shared and distributed memory, symmetric multiprocessor computers and clusters of workstations.

 Key words: air pollution modelling, vector and parallel supercomputers, numerical mathematics, algorithms

Subject classifications: 65M20, 65N40, 65N55, 86A35 

 

 

1. Introduction

The protection of our environment is one of the most important problems in the society. The environment protection will become even more important in the next century. More and more important physical and chemical mechanisms are to be added to the models (as, for example, mechanisms for describing the production and transport of fine and ultra fine particles, mechanisms for describing better the natural emissions, etc.). Moreover, new reliable and robust control strategies for keeping the pollution caused by harmful chemical compounds under certain safe levels have to be developed and used in a routine way. The large mathematical models, in which all physical and chemical processes are adequately described, can successfully be used to solve this task. The use of such models leads to the treatment of huge computational tasks. In a typical simulation several thousand time steps have to be carried out and at each time step systems of ordinary differential equations consist of up to several million equations have to be solved. The effective solution of such huge tasks require combined research from specialists from the fields of environmental modelling, numerical analysis and scientific computing.

The pollution levels in some part of Europe are so high that preventive action are urgently needed because some damaging effects may soon become irreversible. The reduction of the emissions is an expensive process and therefore the solution of the problem for finding robust and reliable control strategies must be optimal or at least close to the optimal. This is possible only by carrying out long simulation experiments of many hundreds runs of comprenhesive mathematical models. Comparing after that the results obtained from different models the answer of the following important questions can be found: (a) are there any discrepancies and (b) what are the reasons for these discrepancies. The process of finding the optimal solution is in general a long process and therefore the efficiency of the computer codes is highly desirable. Some more computations in real time will be needed in connection with the EU Ozone directive. High ozone concentrations occur in large parts in Europe during the summer season and they can cause damages. Reliable mathematical models have to be coupled with weather forecasting models and they have to be run operationally after that in order to predict the appearance of high concentrations and to help the decision makers in such situations. The remainder of the paper is organized as follows. Short description of the mathematical model and the splitting procedure used one can find in Section 2. Section 3 focuses on the numerical techniques, computer treatment and some numerical results obtained while real data set was used. The final Section 4 summarizes our conclusions and outlook.

 2. Mathematical model and Splitting

The physical phenomenon, which is well known under the name Long Range Transport of Air Pollution (LRTAP) consists of three major stages:

Emission. Different pollutants are emitted in the atmosphere from different emission sources. Many of them are anthropogenic but some of the pollutants are emitted also from natural emission sources.
Transport. The actual transport of the pollutants is due to the wind. This is normally called advection of the air pollutants.
Transformations during the transport. Three major processes take place:
  1. Diffusion. The air pollutants are widely dispersed in the atmosphere.
  2. Deposition. Some of the pollutants are deposited to the surface of the Earth (soil, water and vegetation). Two different kind of deposition is considered: dry deposition (continues throughout the long-range transport) and wet deposition (takes place only when it rains)
  3. Chemical reactions. Due to some chemical reactions many secondary pollutants are created.

Mathematically, the air pollution phenomenon, can be described by the so called Eulerian approach where the behavior of the species is described relative to a fixed coordinate system or by so called Lagrangian approach where the changes of the concentrations are described relative to the moving fluid. The Eulerian approach will be used in this paper because the Eulerian statistics are readily measurable and the mathematical expressions are directly applicable to situations in which the chemical reactions take place [9]. Hereafter we will pay attention on the Danish Eulerian Model for Long-range transport of Air Pollutants developed at the Danish National Environmental Institute in Roskilde [12, 13, 14].

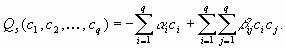
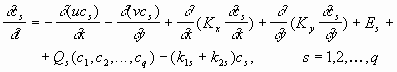
Let us denote the number of the pollutants under consideration with q. Let W be a bounded domain with boundary G=W. The following system of partial differential equations is an adequately mathematical description of the Eulerian model for the long-range transport of air pollutants [11].

 

(1)

 where are the concentrations; and are the wind velocities; and are the diffusion coefficients; the sources are described by , and are the deposition coefficients and the chemical reactions are represented by function . Often advection part of the equations which is described by the first two terms in the right-hand side of (1) can be simplified by assuming that a conservation low is satisfied in the lower part of the atmosphere, and we will use this assumption in our model. The chemical processes presented by , play a special role in the model. The equations in the system (1) is coupled only through the chemical reactions. From the other hand, the chemistry introduced nonlinearity in the model. The chemical reactions are of the form:

Initial and boundary conditions are added to the system of partial differential equations (1).

It is very difficult to treat numerically the system (1). One way to find an efficient solution of this problem is to apply some splitting procedure. Following the ideas in Marchuk [7] and McRae et al [8] the model is divided in four submodels according to the different processes which are involved in: advection, diffusion, deposition and chemistry (together with source term) as follows:

 

These submodels are discretized using different discretisation algorithms and treated successively at each time-step (see for example [1, 2, 3, 10, 11, 15]). The initial conditions are used to couple the four systems (2) - (5). Consider a given time step ). The initial conditions used in the solution of (2) is a vector containing the concentrations at the grid-points which were obtained during the previous time step, i.e. the time step (). The approximation obtained after the solution of (2) is used as initial conditions for (3), etc. The approximate solution obtained after the solution of the fourth system (5) is considered as an acceptable approximation of the concentrations at step n and the procedure continues with the next time step.

3. Computer treatment and numerical results

The space domain into the operational two dimensional version of the Danish Eulerian Model contains all of Europe, parts of Asia, Africa and the Atlantic Ocean. It is a square with side of 4800 km. In the last few years the most often use space discretization is on (96 x 96) grid which means small squares with side of 50 km while the number of air pollutants studied is 35, i.e. in (1) - (5). This leads to the treatment of four systems of ordinary differential equations per time-step and each of them contains 322 560 equations. It is desirable to implement chemical schemes containing more species (chemical schemes with 56 and 168 species have been extensively tested but these schemes are still not used for operational purposes). Very often more detailed output information is needed. A better resolution of 10 km leads to space discretization on (480 x 480) grid. Then each of the four systems of ordinary differential equations described above will consist of 8 064 000 equations in this two dimensional case. This very short description of the numerical difficulties which arise when large air pollution models are to be treated explains why the search for more efficient numerical methods and algorithms is continuing. Moreover, the more often time-period for one run of the model is one month which requires 3456 time-steps when the time step for the advection part is 900 sec. Let us note that the systems of ordinary differential equations in the chemical part are stiff and therefore they have to be treated with smaller time-steps (150 sec is used in the model under consideration) [11]. It is clear that the computational task has to be solved is enormous and it causes great difficulties even when big and fast modern supercomputers are used. Therefore it is essential to select both sufficiently accurate and fast algorithms and optimize the code for runs on parallel computers (with shared and distributed memory, including here the clusters of workstations) and vector computers. The parallel version of the Danish Eulerian Model which is actually used on parallel computers is based on the partitioning of the computational domain in several subdomains, The number of these subdomains are equal to the number of the processors which are available. As was mentioned above different numerical algorithms are used in the different submodels. The major numerical method used in the advection/diffusion part is linear finite element method while the quasi study state approximation (QSSA) algorithm is used the chemical part [5]. More about the numerical methods and algorithms used in the Danish Eulerian Model one can find in[11]. Therefore, two types of subdomains are appeared - nonoverlapping for the chemical and deposition parts and overlapping for the advection and diffusion parts.

The input data for the Danish Eulerian Model may be divided as emission and meteorological input data. The input data are organized in different files and consist: ammonia, sulphur, nitrogen and antropogenic VOC emissions. An information about the forests is used to prepare the natural VOC emissions by the algorithm of Lubkert and Shop [6]. There is an input file with latitudes and longitudes of the grid points. The meteorological data are organized in eight files and consist information about cloud covers, humidity, mixing height, precipitation, temperature, surface temperature, vertical and horizontal components of the wind velocity. The total amount of the input data for the most often used time interval of one month are more than 54 Mbytes. All these data are obtained from the Norwegian Meteorological Institute. The data are for all grid points and for every 6 or 12 hours during the time interval. The output data for the same time interval is even more. Experiments with different emission scenarios resulted in collecting very large output data set. The total amount of these data is greater than 100 Mbytes (see e.g. [1]). These data include the meanvalues of the: concentrations per month, per day and per hour, concentrations in precipitations per month and per day and depositions per month.

The numerical results reported in this paper were performed on the vector computer CRAY C92A with top performance 0.9 GFlops (billions of floating point computations per second) (see Table 1) and the parallel computer IBM SP Power 2 with up to 32 120 MHz RS/6000 processors, each of them with top performance 0.48 GFlops (see Tables 2 and 3). The speedup (Sp) is defined as the computing time on p processors divided by the computing time two processors (in Table 2) and one processor (in Table 1). The parallel efficiency is defined as Ep=Sp/p while the computational efficiency as 100*GFlops/(p*top-performance).

 Table 1. Results obtained on CRAY C92A computer.

Computing time (in sec)

1360

Computational speed (in GFlops)

0.446

Computational efficiency (in percent)

49.5

Table 2. Results obtained on IBM SP Power 2 computer.

Number of processors

1

2

4

8

16

32

Computing time (in sec)

20154

3875

1784

921

464

258

Speedup (Sp)

-

-

2.17

4.21

8.35

15.02

Parallel efficiency (Ep)

-

-

1.09

1.05

1.04

0.94

Comput. speed (in GFlops)

0.03

0.156

0.339

0.657

1.304

2.35

Comput. efficiency (Cp)

6%

16%

18%

17%

17%

15%

The parallel algorithm leads to a considerable reduction of the computational times and it is well seen from Table 1 and Table 2 that the best computing time obtained on IBM SP computer platform is are more than five times better than the computing time obtained on CRAY computer. However, the efficiency of the vector variant of the algorithm is much better than the efficiency of the parallel variant of the algorithm. The superlinear speedups which can be seen in some of the runs (see Table 2) can be explained with the increasing memory locality, the cache locality and the communication overhead. The main problems with cache locality are in the chemical submodel. The improvement of the algorithm in this part was done by using so called chunks, i.e. computations in the chemical part to be done in small portions. The size of the chunks depends on the size of the cache memory of the processors used. This allows to use in better way the cache memory of the processors. This approach has an additional advantage because it leads to considerable savings of storage (for more details see [2, 3, 4]).

 Table 3. Results obtained on IBM SP Power 2 computer with effective use of the cache memory

Number of processors

1

2

Computing time (in sec)

7017

3529

Speedup (Sp)

-

1.99

Parallel efficiency (Ep)

-

0.99

Comput. speed (in GFlops)

0.09

0.172

Comput. efficiency (Cp)

18%

18%

Comparing the results given in the first two columns of Table 2 and Table 3 one can see that even for one processor we obtained a reasonable computing time (decreased with 63% for one processor and with 9% for two processors. Furthermore, there is no superlinear speedup, there is an excellent parallel efficiency and the computational efficiency was improved with 12% in the case of one processor run and with 2% when two processors were used.

4. Concluding Reamarks

The modern environmental studies indicate that the complex and advanced air pollution models are needed. Many pollutants have to be included and advanced chemical modules with nonlinear chemical reactions are to be attached to such models. New and more reliable physical parametrizations have to be chosen. This will reflect in very big models and the treatment of such models will be very time consuming even when high-performance computers are used. Therefore, the work of finding efficient numerical methods and algorithms for their realization on vector and parallel computers has to continue. The codes should be adjusted to the particular computer which is available. The use of standard message passing interface (MPI), which is practically used in our code, is a key component in the development of concurent computing environment in which applications and tools can be transparently ported between different computer platforms. From our experiments it is seen that there is a big gap between the top performance of the computers and the performance which is really achieved. Our experience show that the partitioning of the computational domain in several subdomains and use parallel computers for runs of the model allows to solve efficiently the large-scale problems in air pollution modelling. The parallel version of the Danish Eulerian model is a good tool because I leads to a considerable reduction of the computational time as well as to possibility to store different parts of the input and output data, and different parts of the coefficient matrices which are appeared after the space discretization procedure, into the local memories of the different processors. Hence, we are able to solve huge real-life problems when the problem does not fit in the memory of a single processor. Due to the short of place we did not stop on the visualization and animation techniques which are needed in order to present the output results in more understandable way. The large air pollution models for long-range transport of air pollutants create a huge sets of output data, many million of numbers, and some visualization and/or animation tools have to be used for clearly seeing the relationships that are expressed by the enormous amount of digital data. Experiments performed with the Danish Eulerian model have been already used to establish the dependence between decreasing the emissions in given subdomain or in the whole computational domain and the behavior of the concentrations (see e.g. [1]) using some visualization tools. They indicate that for some pollutants the effects are close to linear (sulphur, ozone, etc.) but for some others the effects are non-linear (nitrogen, hydroxil radical, etc.) but there are still many open questions and it is necessary to perform many a lot of systematic computations in order to answer these, important for the society, questions.

Acknowledgements

This research was partly supported by the Ministry of Education and Science of Bulgaria under Grants I-811/98 and I-901/99. Furthermore, a grant from the Danish Natural Science Research Council gave us an access to all Danish supercomputers.

References

  1. Dimov, I., Georgiev, K., Zlatev, Z.: Long-range transport of air pollutants and source receptor relations, Notes on Numerical Fluid Mechanics, 62 (1998), 155-166
  2. Georgiev, K., Zlatev, Z.: Application of parallel algorithms in an air pollution model, NATO Science Series, 2. Environmental Security, Vol. 57 (1999), 173-184
  3. Georgiev, K., Zlatev, Z.: Parallel sparse matrix algorithms for air pollution models, Parallel and Distributed Computing Practices (to appear in 2000)
  4. Georgiev, K., Zlatev, Z.: Some numerical experiments with the parallel version of the two-dimensional Danish Eulerian model, Notes on Numerical Fluid Mechanics, 73 (2000), 283-291
  5. Hesstvedt, E, Hov, O., Isaksen, I: Quasi-steady-state approximations in air pollution modelling: comparison of two numerical schemes for oxident prediction, Int. J. of Chemical Kinetics, 10 (1978), 971-994
  6. Lubkert, B., Schopp, W.: A model to calculate natural VOC emissions from forests in Europe, Report No. WP-89-082, IIASA, Laxenburg, Austria (1989)
  7. Marchuk, G., Mathematical modelling for the problem of environment, Studies in Mathematics and Applications, 16 (1985), North-Holland, Amsterdam
  8. McRae, C., Goodin, W., Seinfeld, J.: Numerical solution of the atmospheric diffusion equations for chemically reacting flows, J. of computational Physics, 45 (1984), 1-42
  9. Seinfeld, J.: Air Pollution, Wiley, New York (1986)
  10.   Zlatev, Z..: Application of predictor-corrector schemes with several correctors in solving air pollution problems, BIT, 24 (1984), 700-715
  11. Zlatev, Z..: Computer treatment of large air pollution models, Kluwer Academic Publ., Dordrecht-Boston-London (1995)
  12. Zlatev, Z.., Christensen, J., Eliassen, A.: Studying high ozone concentrations by using the Danish Eulerian model, Atmospheric Environment, 27A (1993), 845-865
  13. Zlatev, Z.., Christensen, J., Hov, O.: An Eulerian air pollution model for Europe with nonlinear chemistry, J. of Atmospheric Chemistry, 15 (1992), 1-37
  14. Zlatev, Z.., Dimov, I., Georgiev, K.: Three-dimensional version of the Danish Eulerian model, ZAMM, 76 (1996), 473-476
  15. Zlatev, Z.., Dimov, I., Georgiev, K.: Modelling the long-range transport of air pollutants, IEEE Computational Science & Engineering, 1 (3) (1994), 45-52

 

Home Up Next          

Site best viewed at 800 x 600 pixels
Send mail to perl-bg@myfreeoffice.net with questions or comments about this web site.
Powered by Agency  PEARL - Internet Marketing & Electronic Commerce; 
Copyright © 2000